260127-简单的硼酸酯化反应也能踩坑

1

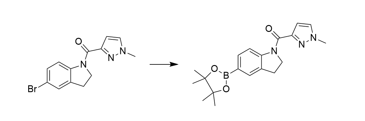
这个反应,看起来很简单,所以原料1.5g直接一锅投了,联硼酸酯1.5eg,醋酸钾3eq,dppf二氯化钯 0.1 eq,二氧六环 100度煮过夜结果LCMS就反应了1/3,2/3是原料,直接傻眼。

发现很多固体从二氧六环里析出,目测是因为原料溶解性不好导致反应情况不行,原料也是DMF做溶剂做的缩合,反应完直接倒水里析出的,发现EA溶解性也不咋地,DCM倒是好溶。

重新开了一锅硼酸酯化反应,用DMF做溶剂,做的一坨,还不如二氧六环,只能想办法把现在手上反应了1/3产品的这锅纯化一下。

PE/EA=5:1点了一下发现在一个点里,换成纯DCM点了下,拖的很长,这种一般有戏,把反应液拌硅胶制沙,装了稍微长的柱子,先用PE/DCM过,结果过到纯DCM后,发现产品色带卡在柱子里下不来,都不动了,只能把PE换成EA,用DCM/EA过,缓慢升到DCM/EA=10% 后,色带下来,第一个峰是溴代物,第二个峰是产物硼酸酯,奇怪吧,明明LCMS里溴代物出在前面,结果过正相柱子也出在前面,不管了,好歹过开了,拉干投下一步,下班。